Matières premières - Import Export
11971 AnnoncesSur Algomtl il y a des centaines d'annonces de matières premières comme le bois, le cuivre, le pétrole, le gaz mais aussi du ciment, de l'urée et des outils et matières pour votre entreprise.
Sunday 21 January 2024
Quantité : 1-10000PCS - Prix : USD0.1-100000/PC
As a variant of the pot magnet, the rectangular pot magnet has the basic characteristics of a pot magnet: a rare-earth magnet encased in a steel shell. Its special feature is its rectangular shape, also called square pot magnet. Types of Rectangular Pot Magnets Rectangular Pot Magnet...
NINGBO SOUWEST MAGNETECH DEVELOPMENT CO.,LTD
- 315200 - Ningbo
- 0574 86666833
Saturday 20 January 2024
SC-8608 battery operated hand pruners, cutting diameter 0-32mm fruit tree pruning, with 16.8V 4AH rechargeable battery, greatly extend the use time to 4-6 hours. Unique super light body of the battery-operated pole rechargeable pruner with an extension bar design can easily cut branches...
Zhejiang GuYueHu Industry&Trade Co.,Ltd.
- 321300 - Yongkang
- 0086 579 87526536
Saturday 20 January 2024
The biggest difference between the SC-8604 battery shears pruning shears and other electric scissors is the addition of an HD digital display, and the power and pruning times are clear at a glance, which allows you to keep it working at the highest efficiency level.Advantages of SC-8604...
Zhejiang GuYueHu Industry&Trade Co.,Ltd.
- 321300 - Yongkang
- 0086 579 87526536
Saturday 20 January 2024
The commercial off grid solar systems based on module design is also more widely used. It consists of solar modules, controllers, inverters, battery packs and bracket systems, which provide electricity at night or on cloudy or rainy days. This commercial off grid solar systems can...
Sunrise Energy Co., Ltd
- 213000 - "No.20 Tongzi River West Road, ZhonglouDevelopment Zone, Changzhou 213023Jiangsu,P.R China"
- 051981688389
Saturday 20 January 2024
Sunrise P-type M10 full black solar module - Aquaman series, using 182mm monocrystalline cells, module output power 350-565w, with four versions of 48/54/60/72. The product power exceeds with excellent results. P-type M10 bifacial modules This series of modules, with three versions...
Sunrise Energy Co., Ltd
- 213000 - "No.20 Tongzi River West Road, ZhonglouDevelopment Zone, Changzhou 213023Jiangsu,P.R China"
- 051981688389
Saturday 20 January 2024
STORION-TB250/500 250 / 500 kWExpandable to MWhsIndoor Heavy-duty industrial application FEATURES With Max. 10 x 50 kW PV String Inverter 250 kW Transformer Integrated 500 kW Transformerless Separate STS / Cabinet Required AC-Coupled Solution With Max. 10 x 50 kW PV String Inverter...
Alpha ESS Co., Ltd.
- 226300 - Nantong
- 0513 8060 6896
Saturday 20 January 2024
STORION-T50/100 50 / 100 kW34.2 - 387.072 kWh A double inverter capacity PV input for off-grid Modular design FEATURES 1 MPPT Multiple Options 100 / 200 kW Max. PV Input Optional STS Integrated Transformer Module System Specifications Rated Power 50 kW 100 kW Max. Grid Input...
Alpha ESS Co., Ltd.
- 226300 - Nantong
- 0513 8060 6896
Saturday 20 January 2024
SMILE-B3-PLUS 3 kW5.04 ~ 30.24 kWh SMILE-B3-PLUS, specially designed for retrofit. Cost-effective, super easy to install, and scalable. This 3kW AC storage-coupled solution with 5.04kWh built-in battery is available for all retrofit requirements, with a capacity expanded to 30.24kWh...
Alpha ESS Co., Ltd.
- 226300 - Nantong
- 0513 8060 6896
Friday 19 January 2024
Quantité : 3000 - Prix : 0,00 €
Nous sommes producteurs et exportateurs de caoutchouc naturel. Nous produisons et exportons toutes sortes de caoutchouc naturel et toutes qualités. Vous trouverez ci-dessous les types de caoutchouc naturel que nous produisons et exportons : * Caoutchouc techniquement spécifié (TSR)...
Les Tropiques Group Mining SPRL Ltd
- 00255 - Dar es Salaam
- +255675975759
- +225674896095
Friday 19 January 2024
The animal friendly disinfectant cleaner works on all kinds of pet messes. From animal urine, feces, drool, and vomit, this dog disinfectant for garden attacks the smell at the source and breaks down all types of stains on the floor and furniture. The disinfectant spray of cats and...
Chengdu Rosun Disinfection Pharmaceutical Co., Ltd.
- 610100 - Chengdu
- 028 65988030
Friday 19 January 2024
To wear cheap knee socks, try pairing shorts and T-shirts to create a spring look. Or,pair your knee length cotton socks with a jersey dress to create a casual and light dress. If you want to dress up with knee-high clothes, choose a rich saturated color (such as Burgundy), and then...
Zhuji Innovate Knitting Co.,Ltd
- 311800 - Zhejiang
- 0575 87778868
Thursday 18 January 2024
Silicone fluids have unique properties because they are not products of petroleum or organic chemistry. They were the first, and are still the only, major class of polymers that are products of inorganic chemistry. Zhongtian Silicone Fluid Product Series Among the whole products series...
Zhongtian East Fluorine Silicon Material Co., Ltd
- 324004 - No.20 Huayin North Road, High-tech Industrial Park, Quzhou, Zhejiang,China
- 05708598517
Thursday 18 January 2024
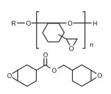
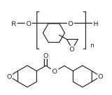
TTA182: Diglycidyl 4-Cyclohexene-1,2-dicarboxylate Cas 21544 03 6 Main applications of the glycidyl amine include adhesive: fast curing adhesives under room temperature, high toughness adhesive, anaerobic adhesive and light sensitive adhesive; casting material for electrical insulation...
Jiangsu Tetra New Material Technology Co., Ltd.
- 201615 - Songjiang
- 0086 2154265697
Thursday 18 January 2024
Elevator guide shoes are crucial components of the elevator system responsible for guiding the elevator car as it moves up and down between floors. They are located on each side of the elevator car frame, and their primary function is to ensure smooth and stable movement of the elevator car...
Wenzhou Fuji Intelligent Technology Co., Ltd.
- 325604 - Zhejiang
- 0577 61669688
Thursday 18 January 2024
Loading container ramp Leveler is used in conjunction with the forklift cargo loading and unloading auxiliary equipment, according to the height of the car compartment height adjustment, the forklift can be directly through the equipment into the interior of the cargo bulk cargo handling...
Shandong Foru Tech Co., Ltd.
- 518101 - sandong
- +18 6 15 19 97 29
Thursday 18 January 2024
This new series forklift trucks that made with the latest technical design provide you excellent operating performance. FORU diesel fork trucks high standard performance, comfortable driving experience and the simple and safe operation will make your work handier. Details of Diesel...
Shandong Foru Tech Co., Ltd.
- 518101 - sandong
- +18 6 15 19 97 29
Thursday 18 January 2024
AN-SLN2 series is one of Anern's best-selling engineering ip67 led street light. The housing of these waterproof led street lights is made of integral die-casting, which has high strength and strong wind resistance. The light source of this LED street lamp is equipped with toughened...
Guangzhou Anern Energy Technology Co., Ltd
- 510700 - Guangzhou
- 860 20 89269660
Thursday 18 January 2024
Quantité : 500tons - Prix : USD0.015-----USD100
Based on different structure features, there are magnetic tool hooks available: magnetic carabiner hooks, reversible magnetic hooks, rotate magnetic hooks, swinging magnetic hooks, ceiling magnetic hooks, etc. Meank Magnetics is one of leading magnetic hooks manufacturers in China...
NingBo BeiLun Meank Magnetics Co.,ltd.
- 315801 - Ningbo
- 0086 574 86220016
- +13 7 36 01 81 76
Thursday 18 January 2024
Quantité : 500tons - Prix : USD0.015-----USD100
Background of Neocube Magnet for Sale At the beginning, magnetic neocube are interesting neodymium magnets toy developed for adults, the magnetic power of magnetic neocube toys is very strong. Some adult player played the small magnetic balls as different patterns. But these years...
NingBo BeiLun Meank Magnetics Co.,ltd.
- 315801 - Ningbo
- 0086 574 86220016
- +13 7 36 01 81 76
Thursday 18 January 2024
Quantité : 500tons - Prix : USD0.015-----USD100
Plastic coated magnets also called as plastic covered magnets or plastic encased magnets.They are made to realize the better effect of waterproof and resist abrasion. Plastic coated magnets (plastic covered magnets) are the best waterproof magnets. Here, we show some standard and...
NingBo BeiLun Meank Magnetics Co.,ltd.
- 315801 - Ningbo
- 0086 574 86220016
- +13 7 36 01 81 76
Thursday 18 January 2024
Quantité : 500tons - Prix : USD0.015-----USD100
Based on different structure features, there are magnetic tool hooks available: magnetic carabiner hooks, reversible magnetic hooks, rotate magnetic hooks, swinging magnetic hooks, ceiling magnetic hooks, etc. Meank Magnetics is one of leading magnetic hooks manufacturers in China...
NingBo BeiLun Meank Magnetics Co.,ltd.
- 315801 - Ningbo
- 0086 574 86220016
- +13 7 36 01 81 76
Thursday 18 January 2024
Peristaltic pump transfer liquid through tubing which will not cause any cross contaminations, right pump head, right peristaltic tubing and right control unit will lead to successful applications. It is mainly used for liquid distribution, sampling, metering and filtering for water...
Nanjing Runze Fluid Control Equipment Co.,Ltd
- 211100 - Nanjing
- 86 025 5119 7362
Thursday 18 January 2024
The plastic clamps for hoses are a new type structure fastener with strong mesh which is combined with various features of plastic and well-designed with precise tooth type structure to convert the acting force by adjustment of appearance structure. The plastic hose clip is common...
Nanjing Runze Fluid Control Equipment Co.,Ltd
- 211100 - Nanjing
- 86 025 5119 7362
Wednesday 17 January 2024
360V MPPT Charge Controller Types Galaxy series (96V-480V,60A-100A)MPPT solar charge controller Galaxy series 96V 192V 216V 240V MPPT 360 solar charge controller is designed for high power off grid system, stable and reliable quality and functions , OEM/ODM service available As one...
Shenzhen Ipandee New Energy Technology Co., Ltd.
- 518112 - Shenzhen
- 0755 23091101
Tuesday 16 January 2024
Quantité : 500tons - Prix : USD0.015-----USD100
Brief introduction of rubber magnets(magnetic rubber): Rubber magnets sometimes called china magnetic rubber. Magnetic rubber itself has no magnetism , the magnetism comes from filled magnetic powder. So the magnetic powder is obligate material for produce magnetic rubber. Magnetic...
NingBo BeiLun Meank Magnetics Co.,ltd.
- 315801 - Ningbo
- 0086 574 86220016
- +13 7 36 01 81 76
Tuesday 16 January 2024
Quantité : 500tons - Prix : USD0.015-----USD100
Product Category: NdFeB pot magnets/china internal threaded pot magnets Product Features: strong holding force, pot magnets with internal thread, neodymium pot magnets with screw socket Available Grade: N35-N54 Surface Treatment: NiCuNi, Zn, Cr, paint-coated... .. Background of...
NingBo BeiLun Meank Magnetics Co.,ltd.
- 315801 - Ningbo
- 0086 574 86220016
- +13 7 36 01 81 76
Saturday 13 January 2024
Our smart home gym equipment is designed compact and has built-in strong motor to simulate resistance instead of traditional counterweights. It only needs to be equipped with correspondingly designed fitness accessories, such as gym bench, gym bar and gym rings, which can easily replace...
Shenzhen Yan Xing Science & Technology Co., Ltd.
- 518052 - shenzhen
- 0755 86969216
Saturday 13 January 2024
In the field of solar lighting and energy storage in the past two years, lithium iron solar battery has gradually replaced traditional batteries to become the new mainstream of the market. Compared with traditional lead-acid and gel batteries, lithium lifepo4 solar battery has the...
Guangzhou Anern Energy Technology Co., Ltd
- 510700 - Guangzhou
- 860 20 89269660
Saturday 13 January 2024
KD-DZ850C EDM Small Hole EDM Machine Features 1. The maximum stroke of the Z axis is 380mm, which can hold 500mm long electrodes, and the waste of the electrode tube is minimized to about 100mm. The ultra-low wear circuit design is used to greatly improve the use ratio of the electrode tube...
Beijing Dimon CNC Technology Co.,Ltd(Beijing Institute of Electro-Machining)
- 100191 - Beijing
- +86 21 67681734
Saturday 13 January 2024
Pigeon Medical provides disposable or reusableHFNC machine parts & nasal cannula accessories according to customer's requirement. Main accessories will be included heated wire breathing circuit, water chamber and nasal cannula. Heated wire will maintain certain temperature and...
Guangdong Pigeon Medical Apparatus Co.,Ltd
- 515300 - PuNing
- +18 8 98 65 17 88
Retrouver toutes les annonces des professionnels en Matières premières.






