PowerCure DEAP CAS No. 6175-45-7
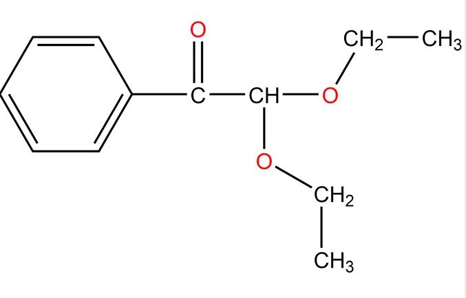
2, 2-Diethoxyacetophenone
PowerCure™ DEAP is a high-boiling-point liquid effective photoinitiator which is compatible with acrylate monomers and oligomers used in UV-curable coatings, adhesives and inks. It is available in liquid form for ease of formulation and particularly useful for photo curing clear acrylate-based formulations where non-yellowing is important. It is also recommended for pigmented inks where shelf life and color stability are essential.
Technical Data of PowerCure™ DEAP CAS No. 6175-45-7
|
Synonyms |
No Data Available. |
|
CAS Number |
6175-45-7 |
|
EINECS Number |
228-220-4 |
|
Chemical Structure |
|
|
Chemical Formula |
C12H16O3 |
|
Molecular Weight |
208.26 |
|
Packing |
PowerCure™ DEAP is supplied in a 25Kg Drum. |
|
Note |
All information in the leaflet is based on our present knowledge and experience. We reserve the right to make any changes according to technological progress or further developments. Performance of the product described herein should be verified by testing.
We specifically disclaim any other express or implied warranty of fitness for a particular purpose or merchantability.
We disclaim liability for any incidental or consequential damages. |
Benefits & Applications of PowerCure™ DEAP CAS No. 6175 45 7
Non-yellowing properties
Good shelf stability
Fast cure rate
PowerCure™ DEAP can be widely used in UV-curable coatings, adhesives and inks.
PowerCure™ DEAP can be recommended for pigmented inks where shelf life and color stability are essential.
Physical Properties of PowerCure™ DEAP CAS No. 6175-45-7
|
Appearance |
Clear pale yellow liquid |
|
Purity (%) |
Min.99 |
|
Boiling point (°C) |
131-134 |
|
Density [20 °C] (g/cm3) |
1.03 |
Solubility of PowerCure™ DEAP CAS No. 6175-45-7
|
Solubility [20°C] |
% w/w |
|
Propyleneglycol diacrylate |
>50 |
|
Methyl methacrylate |
>50 |
|
Trimethylol propane triacrylate |
>50 |
|
1,6-Hexanediol diacrylate |
>50 |
|
Aromatic urethane diacrylate |
>50 |
There are many bulk chemical companies, but we are one of the best choices for you.
Personne à contacter : Sorb Power, 025 58599930
Bonne affaire : acheter au vendeur
Nous vous invitons à lire nos conditions générales d'utilisations. Vous pouvez aussi vous rendre sur nos FAQ et consulter notre page d'informations sur les risques liés à la contrefaçon.
|
Cette page concerne les importateurs et exportateurs de PowerCure™ DEAP CAS No. 6175-45-7 Rechercher dans la catégorie : Matériels occasions Rechercher dans la catégorie : deap, powercure™ |
Wednesday 29 June 2016
Quantité : 10000 - Prix : 5 000,00 €
http://www.shieldlance.com/ - Product Description - Color Modulation Equipment for Gravure Printing - Color Modulation Equipment for Gravure Printing - Application Color modulation is manufacture according to printing machine . It's pressure is adjustable with all kinds of material ...
China (Guangzhou) Shieldlance Group Co.,Ltd.
- 510730 - guangzhou
- 0086 20 82209969
Saturday 11 July 2015
Quantité : 1 - Prix : $3,429.00
Truly affordable. Remarkably versatile. With the VersaStudio, we've taken everything that makes a Roland printer great and packed it into one powerful, profit-producing package. Award-winning mild solvent inks. Your choice of media. One device that can print and cut an incredible...
Asia Toner Inc
- 12950 - Jakarta
- 6281361223405
Wednesday 20 August 2014
Alpha UV flatbed printer is a combination of robust mechanical structure, high-fidelity inkjet and c olor image processing technology, direct to print onto various kinds of rigid & flexible medias. Fit ting with 4-8 Seiko piezo printheads, 6 colors inks(C/M/Y/K/Lc/Lm), white...
Nanjing Specialcolor Technology Co., Ltd.
- 210008 - Nanjing
- 86 025 84720661
- 86 13912975400
Paiement sécurisé






