SiSiB® PC19521
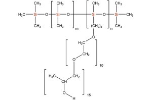
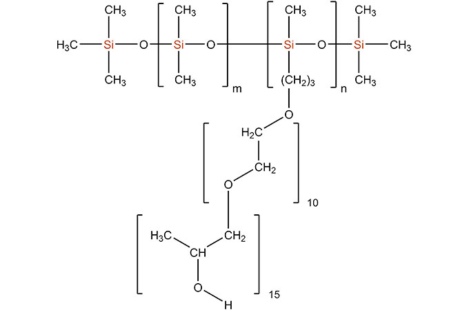
SiSiB® PC19521 is a kind of silicone gel with slight characteristic odor that contains polyether groups, which not only has the skin feel, but also it can be an emulsifying agent in water-in-silicone oil and water-in-oil systems.
This product can enhance the thickness feel for water-in-silicone oil and water-in-oil systems, provides better stability and soft, silky-powdery smoothness, and the semi-gloss effect. In addition, the product can dissolve the non-polar ingredients in the external phase (silicone oil) and the polar ingredients in the inner phase (water) as a dispersant in polar ingredients and non-polar ingredients formulations. It is a good transfer system for both polar and non-polar materials.
Technical Data
|
Appearance |
Milky-white to light yellow translucent gel |
|
degree (1/10mm) |
300-500 |
Applications
SiSiB® PC19521 modified silicone product could be used in a wide range of personal care applications, includes:
Color cosmetics (such as W/O formulation)
Skin care (such as foundation, eye shadow and so on)
Sun care
How to use:
Thoroughly stir the product into oil phase.
Add water phase to oil phase emulsion slowly.
Speed up the stirring rate to enhance stability of W/O emulsion system, increase proportion of water phase to enhance stickiness.
Added electrolytes, preferably NaCl at a level of 0.5% to 2% in water phase to enhance storage stability of the emulsion system.
The emulsion can be emulsified at ambient temperature if the formulation was free from solid ingredients.
Recommend Dosage:
The recommended usage level of this product by SiSiB, also a reliable silicone gel manufacturer, is 3%-10% according to the total amount of the formulation. It is also recommended to carry out preliminary tests to determine the optimum quantity for particular application.
Packing and Storag
SiSiB® PC19521 is supplied in 20Kg plastic pail or 200Kg steel drum.
In the original unopened packaging, SiSiB® PC19521 has a shelf life of 12 months in a dry and cool place at room temperature.
SiSiB SILICONES, established in 1989, is one of the leading medical grade silicone manufacturers. We provide medical grade silicone manufacturers, Liquid Silicone Rubber, dimethicone vinyl dimethicone crosspolymer in cosmetics, vinyldimethicone crosspolymer, silane terminated polyether, etc. Want to know more? Please contact us.
Personne à contacter : Amy Wu, 025 58599930
Bonne affaire : acheter au vendeur
Nous vous invitons à lire nos conditions générales d'utilisations. Vous pouvez aussi vous rendre sur nos FAQ et consulter notre page d'informations sur les risques liés à la contrefaçon.
|
Cette page concerne les importateurs et exportateurs de SiSiB® PC19521 Rechercher dans la catégorie : Pro / B2B Rechercher dans la catégorie : pc19521, sisib® |
Tuesday 28 April 2026
Nous sommes les principaux fournisseurs de boissons énergisantes comme Red Bull, requin, chargeur et bien d'autres.Nous pouvons également fournisseur can boissons comme Pepsi, Coca cola, Fanta, Sprite et autres produits.Nous fournissons également la meilleure qualité de l'eau minérale...
Vente en Gros
- 40400 - Kuala Lumpur
- +60 1 46 26 71 59
- +60 1 42 85 90 62
Wednesday 17 February 2016
Quantité : 1000MT - Prix : $1200/MT/ CIF
- Description - PTT dried fruit are 100% freeze-dried fruit, nothing else is added. Absolutely NO additives or preservatives - a natural, healthy, delicious fruit snack made from real fruit and packed with the same nutrition as fresh fruit. Our freeze dried fruit are perfectly...
KHUN JACK PARTNERSHIP LIMITED
- 50000 - CHIANG MAI
- +66 9 56 19 49 81
Saturday 12 December 2015
Quantité : 210 pcs - Prix : 11199 USD
Type: Outboard Motor Year: 2015 Model: Four Stroke Verado Pro Model Number: 300CL-Verado-Pro Part Number: 1301V14KD Series: Inline 6 HP: 300 HP/Kw @ Prop: 300 / 224 Full throttle RPM: 5800-6400 Cylinder Configuration: Inline 6, 24-valve direct acting double overhead cam (DOHC) Displacement...
Cica Power Engine
- cicapower
- 14250 - Jakarta
- 622190814870
- 6287769278788
Paiement sécurisé





