SiSiB® PC19646
SiSiB® PC19646
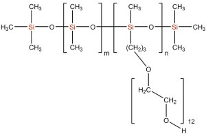
SiSiB® PC19646 is polyglycol (ethylene/propylene oxide) modified dimethicone and could provide unique surfactant properties, and lower surface tension as an ideal emulsifier of silicone oil and other oil-phase in personal care products.
It has excellent water solubility, anti-static, smoothness feel, foaming-stable properties etc.
Technical Data
|
Appearance |
Colorless to yellowish transparent fluid |
|
Refractive index (25°C) |
1.4500-1.4600 |
|
Specific gravity (25°C) |
1.070-1.080 |
|
Cloud point (°C) |
Min. 80 |
|
Viscosity (cSt, 25°C) |
250-500 |
Applications
SiSiB® PC19646 is an ideal emulsifier of silicone fluids and other oil-phase in silicone personal care products, which was used widely in facial lotion, hair styling spray, make-up and sun protect creams, etc.
How to use:
SiSiB® PC19646 can be blended with filmable silicone polymers such as PVP K-30, VA-64 in hair styling preparations.
Recommend Dosage:
In facial lotion and cream, the common usage level is 1%-3%
Packing and Storage
SiSiB® PC19646 silicone transformer oil is supplied in 50Kg plastic drum or 200Kg steel drum.
In the original unopened packaging, SiSiB® PC19646 has a shelf life of two years in a dry and cool place at room temperature.
SiSiB SILICONES, established in 1989, is one of the leading silicone supplier. We provide silicone in oil, peg 12 dimethicone in hair products, peg 12 dimethicone for hair, peg 12 dimethicone, Liquid Silicone Rubber, silicone masterbatch, etc. Want to know more? Please contact us.
Personne à contacter : Amy Wu, 025 58599930
Bonne affaire : acheter au vendeur
Nous vous invitons à lire nos conditions générales d'utilisations. Vous pouvez aussi vous rendre sur nos FAQ et consulter notre page d'informations sur les risques liés à la contrefaçon.
|
Cette page concerne les importateurs et exportateurs de SiSiB® PC19646 Rechercher dans la catégorie : Pro / B2B Rechercher dans la catégorie : sisib®, pc19646 |
Thursday 20 March 2014
Quantité : 200 et plu - Prix : A partir de 0,10 € l
VENTE DE TISSUS – Je suis confectionneur - J'ai des fins de rouleaux de quelques mètres à 45 mètres de tissus pour fabriquer divers produits, dans tous coloris. Liste ci-dessous - Prix Hors-taxes. Si intéréssé me contacter par mail - -- Tissus pour maillots- shorts de sports foot-...
Saturday 02 April 2016
We are the first patented waterproof LED Corn light in China. LED Replacement Lamps for Metal Halide / High Pressure Sodium/High Intensity Discharge/CFL Material Private mode 6063 Aluminum thermal structure; High quality aluminum processing technique; Special su rface treatment process...
Shenzhen snuoer technology Co., LTD
- 518103 - shenzhen
- +86 755 18682173476
Friday 16 May 2014
Quantité : 500000pcs - Prix : $1-25/pc
SLA et SLS Pourquoi utiliser stéréo lithographie? Stéréo lithographie est très similaire à la sls( frittage laser sélectif) processus de prototypage. Il est préférable d'utiliser sla, quand finition de surface et l'apparence générale directement de la machine est le facteur le...
Xiamen Karo Co.,Ltd
- karoplastic
- 361002 - Xiamen
- 0086 592 5135406
Paiement sécurisé





