Médical - Import Export
4701 AnnoncesTout l'équipement médical se situe dans cette catégorie. Scanner, défibrillateur, mais également alcootest, maquillage de secourisme, matériel de premiers secours et pour handicapés.
Saturday 18 February 2023
5 part cbc machine Laser scatter + Chemical dye + Flow cytometry method. 5-Part differentiation, 27 parameters, including 23 reportable parameters. 3 Sample mode: whole blood, capillary whole blood and pre-diluted modes. Key Features of DF50 5-Part Hematology Analyzer Up to 60 tests...
SHENZHEN ALL TRUSTED MEDICAL CO., LTD
- HONVISION
- 518126 - Hangkong
- +86 0755 2372 9397
Thursday 16 February 2023
Ecoptik (also known as BRD Optical) provides meniscus lens in both positive and negative focal lengths. These meniscus lenses are useful when used with another lenses to increase or decrease the focal length. This meniscus lens element configuration does not introduce any additional...
BRD Optical
- 130000 - Changchun
- +86 (431) 8188 4163
Saturday 11 February 2023
UTMOST, a floating ball valve manufacturer, floating ball valve supplier and floating ball valve factory, offers different floating ball valve types at a good float ball price. The floating ball valve has a simple structure and good sealing performance, but the load of the working...
Utmost flow control technology Co., Ltd
- 273500 - Shangdong
- (86537) 530 5966
Thursday 09 February 2023
Specification/model format: MTG2-1/2/3/4 As a professional Power NTC Thermistor manufacturer, we also provide SMD Thermistor, ntc diode, Epoxy Thermistor, Thin Film Thermistor and so on. Glass Thermistor Details Material of glass bead thermistor: semiconductor ceramic resistor chip...
Shenzhen Temp-sen sensor Co., LTD
- 518055 - Shenzhen
- 0755 83687011
Saturday 04 February 2023
M Size Ultra china thin adult diapers In diapers production sites, there are 27 production lines, 20 of which are imported from Zuiko-Japan. We focus on adult care products, including adult open diapers and adult pull-up diapers. For adult pull ups, we produce the sizes of M /L /XL...
ZHEJIANG B.I. Industrial Co.,Ltd
- 310030 - West Lake District
- 0571 89710173
Saturday 04 February 2023
Modern and elegant style. Sturdy PP shell high-quality glass liner. Large capacity meets all kinds of needs. Outstanding insulation performance keeps beverages hot and cold for a long time. Progressive pump-action technique. Specification of Golmate Airport Flask Household PP Glass...
Golmate Enterprise Co., Ltd
- 510030 - Guangzhou
- 020 83208825
Wednesday 01 February 2023
18/415 neck finish closure size caps are widely used in essential oil market. different function of caps with different reducer are used for different thickness oils. There are regular, tamper evident(TE), child resistant(CRC) and tamper evident&child resistant(TE&CRC) at your choice...
Nantong Size Plastic Co.,Ltd
- sizepackage
- 226321 - Jiangsu
- +86 0513 86415825
Tuesday 31 January 2023
Large size soft inflatable hyperbaric chamber, big enough for one adult and one child lying inside. Features of ST901 Lying Hyperbaric Chamber 1.3ATA(4 psi) mild operating pressure. Fully covered with nylon cover - Unique 2 zipper seal for air leak prevention. Put a mattress inside...
Shanghai Baobang Medical Equipment Co., Ltd
- 201617 - Shanghai
- 0086 57781696
Tuesday 31 January 2023
Features of ST2200 Sitting Home Hyperbaric Chamber 1.3ATA(4 psi) mild operating pressure. Fully covered with nylon cover - Unique 3 zipper seal for air leak prevention. Designed to add a adjustable folding chair for ultimate comfort. Emergency valve - To speed the depressurization in emergency...
Shanghai Baobang Medical Equipment Co., Ltd
- 201617 - Shanghai
- 0086 57781696
Tuesday 31 January 2023
Feature and Function of HP800 14ATA working pressure, 60, 70 and 80 cm diameter for optional. Transparent acrylic chamber for easy observation. Multiple safety devices to ensure safety. Control system combines of air compressor, oxygen concentrator and cooling unit. Simple operation-no...
Shanghai Baobang Medical Equipment Co., Ltd
- 201617 - Shanghai
- 0086 57781696
Tuesday 31 January 2023
Types of Hard Shell Hyperbaric Chamber M size HP1501-75 HBOT The diameter is 75cm, big enough for one person lying inside at a more affordable price, more professional for medical use. L size HP1501-90 HBOT for Two People The diameter of 90cm, can accommodate two people lying inside...
Shanghai Baobang Medical Equipment Co., Ltd
- 201617 - Shanghai
- 0086 57781696
Tuesday 31 January 2023
· Lying Type Portable Hyperbaric Oxygen Chamber · Sitting Type Portable Hyperbaric Oxygen Chamber · Hard Type Hyperbaric Oxygen Chamber · Multiplace Type Hyperbaric Oxygen Chamber · Veterinary Type Hyperbaric Oxygen Chamber · 1.8ATA Hyperbaric Oxygen Chamber TYPES OF CHEAP YPERBARIC...
Shanghai Baobang Medical Equipment Co., Ltd
- 201617 - Shanghai
- 0086 57781696
Tuesday 31 January 2023
Hyperbaric Oxygen Therapy is more and more favored by famous athletes all over the world, and they are also a necessary for some sports gyms for helping people recovery faster from hard training. How Hyperbaric Oxygen Therapy Works for Athletes? Hyperbaric chamber recovery works by...
Shanghai Baobang Medical Equipment Co., Ltd
- 201617 - Shanghai
- 0086 57781696
Tuesday 31 January 2023
Your body's tissues need an adequate supply of oxygen to function. When tissue is injured, it requires even more oxygen to survive. Hyperbaric oxygen therapy increases the amount of oxygen your blood can carry. Hyperbaric oxygen therapy for anxiety for ligament damage, copd, anxiety...
Shanghai Baobang Medical Equipment Co., Ltd
- 201617 - Shanghai
- 0086 57781696
Tuesday 31 January 2023
Hyperbaric oxygen therapy for wrinkles HBOT has been a growing choice of many top actors, actresses, and models, hyperbaric oxygen therapy may be the proverbial “fountain of youth.” HBOT hyperbaric oxygen therapy for skin rejuvenation promotes cell repair, age spots, saggy skin, wrinkles...
Shanghai Baobang Medical Equipment Co., Ltd
- 201617 - Shanghai
- 0086 57781696
Monday 30 January 2023
Quantité : 1000Kgs - Prix : USD1~2000/Kg
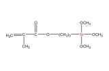
SiSiB® PC4810 Triisopropylsilyl Acrylate SiSiB® PC4810 is a colorless clear liquid. Technical Data CAS No. 157859 20 6 EINECS No. 457-670-6 Formula C12H24O2Si Molecular Weight 2128.41 Boiling Point 102°C [10mmHg] Color and Appearance Colorless clear liquid Density 25/25°C 0...
Nanjing SiSiB Silicones Co., Ltd
- 210000 - nanjing
- 025 58599930
Monday 30 January 2023
Quantité : 1000Kgs - Prix : USD1~2000/Kg
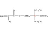
SiSiB® PC4600 is an organic functional coupling agent, newly developed as an adhesion promoter and reinforcing agents. Its acryloxy group is significantly more reactive than the corresponding methacryloxy group. SiSiB® PC4600 acyl silane is equal to Dow's AY43-310M, ShinEtsu's KBM-5103...
Nanjing SiSiB Silicones Co., Ltd
- 210000 - nanjing
- 025 58599930
Monday 30 January 2023
Quantité : 1000Kgs - Prix : USD1~2000/Kg
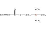
SiSiB® PC4300 is a methacryl-functional silane; it is a clear, light and heat sensitive liquid with a faintly sweet odour. It is equal to Dow's Z-6033, ShinEtsu's KBM-502. SiSiB® PC4300 is used as adhesion promoter at organic/inorgainc interfaces, as surface modifier (e.g. imparting...)
Nanjing SiSiB Silicones Co., Ltd
- 210000 - nanjing
- 025 58599930
Monday 30 January 2023
Quantité : 1000Kgs - Prix : USD1~2000/Kg
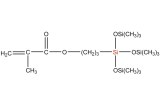
SiSiB® PC4200 is a methacryl-functional silane; it is a clear, light and heat sensitive liquid with a faintly sweet odour. It is the equivalent of Momentive's Y-11878, Dow's Z-6036, Wacker's GF32, ShinEtsu's KBE-503. SiSiB® PC4200 acyl silane is used as adhesion promoter at organic/inorgainc...
Nanjing SiSiB Silicones Co., Ltd
- 210000 - nanjing
- 025 58599930
Monday 30 January 2023
Quantité : 1000Kgs - Prix : USD1~2000/Kg
SiSiB® PC4108H is a colorless clear liquid; it is used modern silicone-hydrogel contact lenses. Technical Data CAS No. 17096 07 0 EINECS No. 241-165-0 Formula C16H38O5Si4 Molecular Weight 422.81 Boiling Point 139°C [760mmHg] Flash Point 201°C Appearance Clear liquid...
Nanjing SiSiB Silicones Co., Ltd
- 210000 - nanjing
- 025 58599930
Monday 30 January 2023
Quantité : 1000Kgs - Prix : USD1~2000/Kg
SiSiB® PC4100H is a methacryloxypropyltrimethoxysilane; it is a clear, light and heat sensitive liquid with a faintly sweet odour. SiSiB® PC4100H acyl silane is used as adhesion promoter at organic/inorgainc interfaces, as surface modifier (e.g. imparting water repellency, organophilic...)
Nanjing SiSiB Silicones Co., Ltd
- 210000 - nanjing
- 025 58599930
Monday 30 January 2023
Quantité : 1000Kgs - Prix : USD1~2000/Kg
SiSiB® PC4100 is a methacryl-functional silane; it is a clear, light and heat sensitive liquid with a faintly sweet odour. It is equal to Momentive's A-174, Dow's Z-6030, Wacker's GF31, Evonik's Dynasylan MEMO, ShinEtsu's KBM-503. SiSiB® PC4100 acyl silane is used as adhesion promoter...
Nanjing SiSiB Silicones Co., Ltd
- 210000 - nanjing
- 025 58599930
Thursday 19 January 2023
Quantité : 5000 - Prix : 15-2200USD
Pigeon Medical Circuit Support Arm (Heavy Type) hook can offers ventilator accessories including our utility clamp that features three different ways of clamping - rail systems, poles, and table tops. The clamp can be used for many different purposes including holding blender bracket accessories...
Guangdong Pigeon Medical Apparatus Co.,Ltd
- 515300 - PuNing
- +18 8 98 65 17 88
Thursday 19 January 2023
Quantité : 5000 - Prix : 15-2200USD
Pigeon Medical air oxygen blender is a device used by medical personnel to control the concentration and flow of oxygen for the rescue of patients with hypoxic problems while avoiding the side effects of pure oxygen inhalation. It provides the ability to mixed air and oxygen in a safe...
Guangdong Pigeon Medical Apparatus Co.,Ltd
- 515300 - PuNing
- +18 8 98 65 17 88
Thursday 19 January 2023
Quantité : 5000 - Prix : 15-2200USD
Pigeon Medical Nasal Cannula are designed to allow for patients with independent breathing and through provid high-flow, warmed, humidified breathing gas to make an effective treatment. Used with humidifier therapy device breathing circuit is available. And also can be used for non...
Guangdong Pigeon Medical Apparatus Co.,Ltd
- 515300 - PuNing
- +18 8 98 65 17 88
Thursday 19 January 2023
Quantité : 5000 - Prix : 15-2200USD
What Is Bubble CPAP? AD-I infant bubble CPAP machine is a cost-effective product, very popular in the market. Equipped with a high-performance portable medical air compressor, multiple models of medical respiratory humidifier to choose from, high precision air oxygen blender mixer...
Guangdong Pigeon Medical Apparatus Co.,Ltd
- 515300 - PuNing
- +18 8 98 65 17 88
Thursday 19 January 2023
Quantité : 5000 - Prix : 15-2200USD
With safe, precise and controllable PIP (Peak Inspiratory Pressure) and PEEP (Positive End Expiratory Pressure), Pigeon Medical Infant Resuscitators are easy to operate and can provide temporaty breathing support. It is crucial for NICU units, Nurseries, Delivery and Transport System...
Guangdong Pigeon Medical Apparatus Co.,Ltd
- 515300 - PuNing
- +18 8 98 65 17 88
Thursday 19 January 2023
Quantité : 5000 - Prix : 15-2200USD
Pigeon Medical air oxygen blender PN2000-SPD2 is doubling the output by adding an extra flow meter. Now the medical concentrated gas can be supplied to two newborns simultaneously. It brings a huge significant benefit on man power and cost saving. Besides that, adult version of flow...
Guangdong Pigeon Medical Apparatus Co.,Ltd
- 515300 - PuNing
- +18 8 98 65 17 88
Thursday 19 January 2023
Quantité : 5000 - Prix : 15-2200USD
Pigeon Medical specializes in manufacturing respiratory products & oxygen therapy equipment for breathing. As a professional provider of medical device to help breathing, we can offer different types of medical ventilators and hospital protective equipment used in respiratory...
Guangdong Pigeon Medical Apparatus Co.,Ltd
- 515300 - PuNing
- +18 8 98 65 17 88
Wednesday 18 January 2023
Based on millions of user data, the ‘Attention' mechanism & ‘Deep Learning Technology' of the convolutional neural network, the ‘shecare+' algorithm can accurately identify most of the colloidal gold test kits on the market. Widely used semi-quantitative recognition algorithms...
Shecare-ikangtai
- 100084 - Haidian
- 86 010 56231097
Nous proposons avec cette catégorie d'annonces du matériel et consommables médicaux. Masques, instruments, et consommables sont là pour satisfaire la demande dans ce domaine.
Retrouver toutes les annonces des professionnels en Médical.






